加固材料知识普及——环氧树脂(二)
浏览量:1379 发布时间:2021.03.29我们前面有介绍过环氧树脂胶的发展,及环氧树脂的性能。了解环氧树脂胶材料各组分的其他材料,更好的使用。
1.硬化剂(固化剂、熟化剂) 它是使热塑性线性分子结构的环氧树脂交联成立体网状分子结构,变为不溶的硬固体所必须的化学品。硬化剂的种类很多,可根据硬化时环境条件和硬化后不同性能要求,选择适用的硬化剂,在土木建筑工程中常用的硬化剂有乙二胺和间苯二胺。
当采用胺类硬化剂作交联剂时,使一个活泼氢和一个环氧基相对应,根据不同型号环氧树脂的环氧值和硬化剂分子量,活泼氢数计算出硬化剂用量,其理论用量可按式(1-1.1)计算:

式中 g—每100g环氧树脂胺类硬化剂量(g);
M—胺类硬化剂的分子量(g);
N—胺类硬化剂活泼氢原子个数;
K—环氧树脂的环氧值。
硬化剂用量过多,将终止键的增长,降低硬化物的分子量,从而变脆。如果硬化剂用量不足,就不能保证充分硬化或不硬化。在一般情况下,硬化剂取用量比按理论计算求得值要多一些,因为在使用中要考虑挥发等损耗。
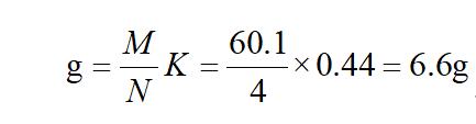
乙二胺是一种无色透明液体,有剌激臭味、有毒、易燃、易挥发,分子量 60 .1,密度0.902(15℃),燃点 85℃,沸点116 .5℃,含有4个活泼氢原子个数,反应是放热的,在常温下进行硬化 ,但由乙二胺作硬化剂的环氧树脂胶可操作的适用时间较短。当采用6101号环氧树脂,每100g 环氧树脂需要乙二胺的理论值为 :

一般实际采用量为 8 10g。
间苯二胺,琥珀色晶体,在潮温的环境中其颜色极易变深,但并不影响硬化性能,甚至还能加速硬化,具有刺激性,避免人体皮肤直接接触,一旦被接触,将使皮肤污染呈胡桃色很难清除掉。它的分子量为108,熔点约60℃,具有四个活泼氢,一般在高温条件下硬化,150℃条件下完全硬化需4h,常应用在浇铸和层压制品中。在室温中硬化时,硬化持续时间较长,可获得较长的操作时间。
由于间苯二胺的分子结构较大,在反应时不能与环氧树脂的环氧基全部起交联作用, 故实用量比理论计算值要大,如采用6101号环氧树脂,每百克所需理论值为11.9g,一般取16g。
间苯二胺与环氧树脂混合时有两种方法:其一,把间苯二胺及环氧树脂分别在65℃熔融(采用电炉戎明火炉上熬)均匀,然后进行混合搅匀;其二 ,将环氧树脂加热至 80℃,然后将已研磨成粉状的间苯二胺放入,不断搅拌使间苯二胺溶解。按上述两种方法混合的料,待冷至40℃以下时,再与稀释剂混合。
由于采用间苯二胺作硬化剂操作较麻烦,因此,在土木建筑工程中,一般均采用乙二胺作为硬化剂。
2.稀释剂 主要作用是降低环氧树脂的黏度,以便操作和适合不同用途。为了使黏稠的环氧树脂与填充料调合或使它成为黏度很小的灌浆材料,必须加入一定量的稀释剂。但是,稀释剂用量过多,将影响环氧树脂胶的性能,增加硬化过程中的收缩率 。 用作稀释剂的溶剂,分为活性溶剂(反应性溶剂)和非活性溶剂。活性溶剂含有环氧基,在硬化过程中本身参加反应,成为网状结构中的组分,故在采用活性溶剂时,硬化剂用量需要适当增加,活性溶剂的用量一般为环氧树脂10 %~20 %;当用量大于 20 % 时,对环氧树脂胶的性能会有显著影响。非活性溶剂一般是挥发性的,纯粹起稀释作用,不参与化学反应在硬化过程中要挥发掉一部分,会增加收缩率,会增加环氧树脂胶的硬度,降低热变形温度,降低韧性、强度和粘结力。因此,非活性溶剂的用量尽量减少。
常用的几种稀释剂的性能如下表所列。
几种稀释剂的化理性能
名称 | 化学式 | 分子量 | 密度(kg/L) | 熔点(℃) | 沸点(℃) | 备注 |
丙酮 | (CH3)2CO | 58.08 | 0.792 | -95 | 86 | 非活性 |
正丁醇 | CH3(CH2)2CH2OH | 74.12 | 0.81 | <-80 | 117.7 | |
间二甲苯 | C6H4(CH3)2 | 106.16 | 0.875 | -47.4 | 139 | |
邻二甲苯 | C6H4(CH3)2 | 106.16 | 0.875 | -25 | 144 | |
甲苯 | C6H4CH3 | 92.13 | 0.866 | -95 | 110.8 | |
邻苯二甲酸二丁酯 | C6H4(CO2C4H9)2 | 278.34 | 1.046 | 液体 | 340 | |
环氧氯 丙烷 | C3H5ClO | 92.5 | 1.1806 | 116.12 | 活性 |
3.增塑剂 主要用来改善环氧树脂胶硬化后的脆性,提高抗弯强度和冲击韧性,它不参与反应,在配制时还能起稀释剂作用,对环氧树脂胶硬化后的耐热性、耐化学腐蚀性能和后期强度,当用量过多时将有不利影响。常采用的增塑剂有邻苯二甲酸二丁脂,它是一种无色、透明、无毒的油状液体,在常温下不易挥发,能溶于醇 、丙酮 、苯及其他有机液体,它的用量不少于环氧树脂的 10 %。
4.填充料 掺入填充料可以提高环氧树脂胶硬化物的机械强度、耐热性能、导热率、导电性,防止老化,节约环氧树脂用量,降低成本,能降低热膨胀系数,减少收缩率和反应时的放热温度。填充料种类很多,有机物、无机物、金属等,与环氧树脂及硬化剂不起化学反应。在土木建筑工程中,常用的填充料有普通硅酸盐水泥、石英粉 、滑石粉、砂、石子等,粉状填充料一般的细度为100~200目,砂选用洁净、干燥的中砂,石子粒径为5~10mm。
运兴土木十八年专业加固经验,致力于保障工程结构的安全与正常使用。
运兴土木立足湖南,服务中国!
各种工程质量问题,欢迎来电咨询:0731-89922317。
公司网站:www.yunxingtumu.com。